HA816C ビニルアセテート・フマル酸エステルのコポリマー
HA816C ビニルアセテートとフマル酸エステルのコポリマー
  • HA816C ビニルアセテート・フマル酸エステルのコポリマー

  • HA816C ビニルアセテートとフマル酸エステルのコポリマー

HA816C ビニルアセテート・フマル酸エステル共重合体

それは、特に高粘度のナフセン系基油に対して優れた凝固点降下効果を示し、他の凝固点降下剤と比較してより良い効果を発揮します。

製品説明

1. 説明

CAS: 68954-12-1
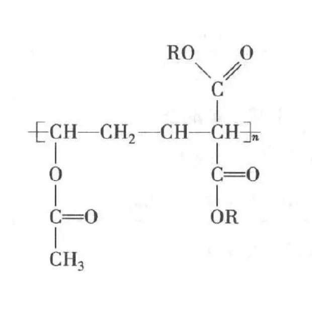
分子式: (C4H6O2)m・(C4H4O4)n

この製品は、ポリマーの分子内にある極性基(例えば、カルボン酸エステル基)とオイルワックス結晶の表面との吸着や共晶反応によって、ワックス結晶の三次元ネットワーク構造の形成を阻害し、流動点と粘度を大幅に低減します。このメカニズムは、ワックス結晶の成長経路を妨げ、ゼラチン状アスファルテンの積層構造に干渉することで、オイル製品の低温流動性を改善します。フマル酸エステルのモル比をビニルエステルに調整し、長鎖脂肪アルコールの割合を増加させることで、高粘度な環状アルキル基オイルの流動点を低減し、他のPMAやαオレフィン型流動点低減剤では対処しきれない難題を解決します。コポリマーの分子構造は正確に最適化されます; 合成過程では、p-トルエンスルホン酸が触媒として、ベンゾイル過酸化物が開始剤として使用され、反応温度が精密に制御され、製品の安定した分子量分布を確保します。この流動点低減剤は低用量(0.2% -1%)で高い互換性を持ちます。オイルの透明性と酸価の安定性を維持しながら、抗酸化剤や分散剤のような機能添加剤と相乗的に働き、干渉しません。弱酸性の設計(pHが中性に近い)は、低灰の環境に優しいオイル配合に適しています。その上、広い温度範囲適応性(-30 ℃~100 ℃)とせん断安定性(せん断指数

2. 適用

油圧オイル/ギアオイル: 高粘度環状基オイルに適し、低温でのポンピング性能を改善し、特に鉱山機械や港湾設備のような高湿度および埃っぽい環境に適しています。
内燃機関オイル: 多段のオイル製品(例:5W-30、10W-40)に使用され、寒冷時の始動抵抗とエンジンの摩耗を低減します。
冷却オイル: 低温冷却システムにおいてワックス結晶の形成を抑制し、コンプレッサーの詰まりを防ぎます。
酸洗油/光ファイバーケーブルオイル: オイルスラッジの沈殿を減少させ、光ファイバーケーブルオイルの流動性と酸洗工程の効率を向上します。
高ワックス含有の原油の流動点と粘度の低減: 例として、パンジン原油(流動点低減13 ℃)やカラマイ重オイル(粘度低減75.24%)が挙げられ、パイプライン輸送のエネルギー消費を削減します。
残留物の処理: パンジン残留物の流動点と粘度を9 ℃と92%低減し、精製プロセスの効率を最適化します。

3. 推奨使用量

推奨使用量は0.1% ~1.0%です。

4. 特性

項目 典型値 試験方法
外観 無色または淡色透明液体 目視
色、スケール ≤3.0 GB/T 6540
動粘度 (100℃), mm²/s 報告 NB/SH/T0870, ASTM D7042
引火点 (COC), ℃ ≥90 GB/T 3536, ASTM D92
流動点低減度, ℃ ≥15 GB/T 510

5. 包装

ドラム/IBC

  • wechat

    Li: +86 186 3348 7039

私たちとしゃべる