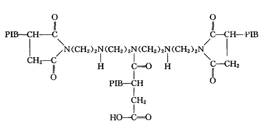
R 基 (ポリマー鎖): 最も一般的な R 基はポリイソブチレン (PIB) です。ポリマーの分子量 (Mn) は分散性に大きな影響を与えます。分子量が高すぎても低すぎても分散性は良くないため、分散剤の分子量は通常 3000 ~ 7000 の間に集中します。分子量が大きいほど分散性の向上に効果がありますが、鎖が長すぎると低温特性に影響を与える可能性があるため、総合的に検討する必要があります。さらに、多分散指数 (PDI、つまり Mw/Mn) も、PIB の分散特性を評価するための重要なパラメーターです。 PDI が低いほど、ポリマーの重合度が純物質の重合度に近く、分散性が良好であることを示します。
アンカーグループ: 従来の分散剤には通常 1 つのアンカー基がありますが、ダブルハング分散剤には 2 つのアンカー基があります。アンカーグループの役割はほうきの柄のようなもので、ほうきの頭を前方で安定させる働きがあり、分散性に大きく影響します。例えば、マンニッヒ塩基分散剤はマンニッヒ反応によって得られ、結合体として無水マレイン酸を置き換え、一定の極性を持ちますが強すぎません。
極性端: 極性末端は分散剤のコア部分であり、共通の極性末端にはポリエチレンポリアミンが含まれます。スラッジや酸化生成物は通常酸性であるため、N(アルカリ性)を含む分散剤はこれらの物質の吸着を助けます。異なる極性末端は、異なる物質に対する選択性に大きな違いがあるため、異なる種類のエンジンには異なる種類の分散剤が必要になります。
要約すると、分散剤の分散性は、その R 基の分子量、多分散指数、アンカー基、極性末端の構造と密接に関係しています。これらの要因が集合的に分散剤の性能を決定し、それがさまざまな用途における分散効果に影響を与えます。
